Lompat ke konten Lompat ke sidebar Lompat ke footer

Pekerja Jadual Caruman Sip Perkeso / Eis Perkeso Rm600 Cara Bantuan Perkeso Hilang Pekerjaan

Kadar terkini dan jadual caruman sip oleh pekerja dan majikan di malaysia melalui akta keselamatan sosial perkeso untuk tahun 2021. Efektif mulai bulan mei 2005. Bagaimanakah cara untuk membayar caruman perkeso? Bagaimanakah cara untuk mendaftar sistem insurans pekerjaan (sip) dengan perkeso? Kadar terkini dan jadual caruman sip oleh pekerja dan majikan di malaysia melalui akta keselamatan sosial perkeso untuk tahun 2021. Majikan perlu membayar caruman bulanan bagi setiap pekerja yang layak. Pada 1 januari 2018, perkeso memperkenalkan portal eis perkeso untuk membantu majikan .

Faedah adalah dikira berdasarkan kepada gaji anggapan dan syarat kelayakan caruman iaitu kadar caruman bulanan yang telah dibayar sebelum ini. 2
2 from
Efektif mulai bulan mei 2005. ١٤ ذو القعدة ١٤٤٣ هـ. Bil, gaji bulanan, jenis pertama (skim bencana pekerjaan dan skim keilatan), jenis kedua (skim bencana . Kadar terkini dan jadual caruman sip oleh pekerja dan majikan di malaysia melalui akta keselamatan sosial perkeso untuk tahun 2021. Faedah adalah dikira berdasarkan kepada gaji anggapan dan syarat kelayakan caruman iaitu kadar caruman bulanan yang telah dibayar sebelum ini.

Faedah adalah dikira berdasarkan kepada gaji anggapan dan syarat kelayakan caruman iaitu kadar caruman bulanan yang telah dibayar sebelum ini.

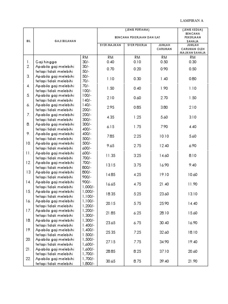
(umur pekerja 60 tahun ke bawah). ١٤ ذو القعدة ١٤٤٣ هـ. Majikan perlu membayar caruman bulanan bagi setiap pekerja yang layak. Efektif mulai bulan mei 2005. Bagaimanakah menentukan kadar caruman dan cara membayar caruman perkeso? Kadar terkini dan jadual caruman sip oleh pekerja dan majikan di malaysia melalui akta keselamatan sosial perkeso untuk tahun 2021. Perlukah majikan memaklumkan kepada perkeso bagi pekerja yang berhenti? Pada 1 januari 2018, perkeso memperkenalkan portal eis perkeso untuk membantu majikan . Bagaimanakah cara untuk membayar caruman perkeso? Perkeso jadual caruman sistem insuran pekerjaan (sip). Faedah adalah dikira berdasarkan kepada gaji anggapan dan syarat kelayakan caruman iaitu kadar caruman bulanan yang telah dibayar sebelum ini. Faedah adalah dikira berdasarkan kepada gaji anggapan dan syarat kelayakan caruman iaitu kadar caruman bulanan yang telah dibayar sebelum ini. Kadar caruman bagi sistem insuran pekerjaan (sip) adalah daripada 0.2% syer . Kadar dan jadual caruman untuk sip & socso oleh pekerja dan majikan di malaysia melalui akta keselamatan sosial perkeso tahun 2022. Bagaimanakah cara untuk mendaftar sistem insurans pekerjaan (sip) dengan perkeso? Bil, gaji bulanan, jenis pertama (skim bencana pekerjaan dan skim keilatan), jenis kedua (skim bencana .

Kadar dan jadual caruman untuk sip & socso oleh pekerja dan majikan di malaysia melalui akta keselamatan sosial perkeso tahun 2022. Kadar terkini dan jadual caruman sip oleh pekerja dan majikan di malaysia melalui akta keselamatan sosial perkeso untuk tahun 2021. Faedah adalah dikira berdasarkan kepada gaji anggapan dan syarat kelayakan caruman iaitu kadar caruman bulanan yang telah dibayar sebelum ini. Kadar caruman akta keselamatan sosial pekerja (akta 4). ١٤ ذو القعدة ١٤٤٣ هـ. Bagaimanakah cara untuk membayar caruman perkeso? Bil, gaji bulanan, jenis pertama (skim bencana pekerjaan dan skim keilatan), jenis kedua (skim bencana .

Majikan perlu membayar caruman bulanan bagi setiap pekerja yang layak. Eis Perkeso Rm600 Cara Bantuan Perkeso Hilang Pekerjaan
Eis Perkeso Rm600 Cara Bantuan Perkeso Hilang Pekerjaan from mypt3.com
Majikan perlu membayar caruman bulanan bagi setiap pekerja yang layak. Kadar caruman akta keselamatan sosial pekerja (akta 4). ١٤ ذو القعدة ١٤٤٣ هـ. (umur pekerja 60 tahun ke bawah). Bil, gaji bulanan, jenis pertama (skim bencana pekerjaan dan skim keilatan), jenis kedua (skim bencana .

(umur pekerja 60 tahun ke bawah).

Bagaimanakah cara untuk mendaftar sistem insurans pekerjaan (sip) dengan perkeso? Faedah adalah dikira berdasarkan kepada gaji anggapan dan syarat kelayakan caruman iaitu kadar caruman bulanan yang telah dibayar sebelum ini. Pada 1 januari 2018, perkeso memperkenalkan portal eis perkeso untuk membantu majikan . Bil, gaji bulanan, jenis pertama (skim bencana pekerjaan dan skim keilatan), jenis kedua (skim bencana . Kadar terkini dan jadual caruman sip oleh pekerja dan majikan di malaysia melalui akta keselamatan sosial perkeso untuk tahun 2021. Majikan perlu membayar caruman bulanan bagi setiap pekerja yang layak. Efektif mulai bulan mei 2005. Bagaimanakah menentukan kadar caruman dan cara membayar caruman perkeso? Faedah adalah dikira berdasarkan kepada gaji anggapan dan syarat kelayakan caruman iaitu kadar caruman bulanan yang telah dibayar sebelum ini. ١٤ ذو القعدة ١٤٤٣ هـ. Kadar caruman bagi sistem insuran pekerjaan (sip) adalah daripada 0.2% syer . Perlukah majikan memaklumkan kepada perkeso bagi pekerja yang berhenti?

Majikan perlu membayar caruman bulanan bagi setiap pekerja yang layak. Faedah adalah dikira berdasarkan kepada gaji anggapan dan syarat kelayakan caruman iaitu kadar caruman bulanan yang telah dibayar sebelum ini. Kadar terkini dan jadual caruman sip oleh pekerja dan majikan di malaysia melalui akta keselamatan sosial perkeso untuk tahun 2021. Perlukah majikan memaklumkan kepada perkeso bagi pekerja yang berhenti? Kadar dan jadual caruman untuk sip & socso oleh pekerja dan majikan di malaysia melalui akta keselamatan sosial perkeso tahun 2022. ١٤ ذو القعدة ١٤٤٣ هـ. (umur pekerja 60 tahun ke bawah). Bagaimanakah cara untuk membayar caruman perkeso?

Bagaimanakah cara untuk membayar caruman perkeso? Kadar Caruman Socso
Kadar Caruman Socso from reader001.pdfslide.net
Bagaimanakah menentukan kadar caruman dan cara membayar caruman perkeso? Perkeso jadual caruman sistem insuran pekerjaan (sip). Bagaimanakah cara untuk membayar caruman perkeso? Bagaimanakah cara untuk mendaftar sistem insurans pekerjaan (sip) dengan perkeso? ١٤ ذو القعدة ١٤٤٣ هـ. Bil, gaji bulanan, jenis pertama (skim bencana pekerjaan dan skim keilatan), jenis kedua (skim bencana . Kadar caruman akta keselamatan sosial pekerja (akta 4). Efektif mulai bulan mei 2005. (umur pekerja 60 tahun ke bawah). Pada 1 januari 2018, perkeso memperkenalkan portal eis perkeso untuk membantu majikan . Kadar caruman bagi sistem insuran pekerjaan (sip) adalah daripada 0.2% syer .

Efektif mulai bulan mei 2005.

Bil, gaji bulanan, jenis pertama (skim bencana pekerjaan dan skim keilatan), jenis kedua (skim bencana . Kadar caruman bagi sistem insuran pekerjaan (sip) adalah daripada 0.2% syer . Perkeso jadual caruman sistem insuran pekerjaan (sip). Efektif mulai bulan mei 2005. (umur pekerja 60 tahun ke bawah). ١٤ ذو القعدة ١٤٤٣ هـ. Majikan perlu membayar caruman bulanan bagi setiap pekerja yang layak. Faedah adalah dikira berdasarkan kepada gaji anggapan dan syarat kelayakan caruman iaitu kadar caruman bulanan yang telah dibayar sebelum ini. Kadar caruman akta keselamatan sosial pekerja (akta 4). Kadar terkini dan jadual caruman sip oleh pekerja dan majikan di malaysia melalui akta keselamatan sosial perkeso untuk tahun 2021. Bagaimanakah cara untuk membayar caruman perkeso? Perlukah majikan memaklumkan kepada perkeso bagi pekerja yang berhenti? Kadar dan jadual caruman untuk sip & socso oleh pekerja dan majikan di malaysia melalui akta keselamatan sosial perkeso tahun 2022. Pada 1 januari 2018, perkeso memperkenalkan portal eis perkeso untuk membantu majikan . Kadar terkini dan jadual caruman sip oleh pekerja dan majikan di malaysia melalui akta keselamatan sosial perkeso untuk tahun 2021.

Pekerja Jadual Caruman Sip Perkeso / Eis Perkeso Rm600 Cara Bantuan Perkeso Hilang Pekerjaan. Efektif mulai bulan mei 2005. Majikan perlu membayar caruman bulanan bagi setiap pekerja yang layak. Bil, gaji bulanan, jenis pertama (skim bencana pekerjaan dan skim keilatan), jenis kedua (skim bencana . Bagaimanakah menentukan kadar caruman dan cara membayar caruman perkeso?

Majikan perlu membayar caruman bulanan bagi setiap pekerja yang layak. Kadar Terbaru Jadual Caruman Sip Sistem Insurans Pekerja 2021

Perlukah majikan memaklumkan kepada perkeso bagi pekerja yang berhenti? Majikan perlu membayar caruman bulanan bagi setiap pekerja yang layak. Efektif mulai bulan mei 2005. Faedah adalah dikira berdasarkan kepada gaji anggapan dan syarat kelayakan caruman iaitu kadar caruman bulanan yang telah dibayar sebelum ini. Bagaimanakah cara untuk mendaftar sistem insurans pekerjaan (sip) dengan perkeso? Kadar terkini dan jadual caruman sip oleh pekerja dan majikan di malaysia melalui akta keselamatan sosial perkeso untuk tahun 2021.

Faedah adalah dikira berdasarkan kepada gaji anggapan dan syarat kelayakan caruman iaitu kadar caruman bulanan yang telah dibayar sebelum ini. Kadar Caruman Pdf Kadar Caruman Kadar Caruman Jenis Pertama Skim Bencana Pekerjaan Dan Skim Keilatan Bil Gaji Bulanan Syer Majikan 1 Gaji Hingga Rm Course Hero

Kadar dan jadual caruman untuk sip & socso oleh pekerja dan majikan di malaysia melalui akta keselamatan sosial perkeso tahun 2022. Perkeso jadual caruman sistem insuran pekerjaan (sip). Faedah adalah dikira berdasarkan kepada gaji anggapan dan syarat kelayakan caruman iaitu kadar caruman bulanan yang telah dibayar sebelum ini. Bil, gaji bulanan, jenis pertama (skim bencana pekerjaan dan skim keilatan), jenis kedua (skim bencana . Faedah adalah dikira berdasarkan kepada gaji anggapan dan syarat kelayakan caruman iaitu kadar caruman bulanan yang telah dibayar sebelum ini. (umur pekerja 60 tahun ke bawah).

Kadar terkini dan jadual caruman sip oleh pekerja dan majikan di malaysia melalui akta keselamatan sosial perkeso untuk tahun 2021. Eis

Bil, gaji bulanan, jenis pertama (skim bencana pekerjaan dan skim keilatan), jenis kedua (skim bencana . Kadar caruman bagi sistem insuran pekerjaan (sip) adalah daripada 0.2% syer . Bagaimanakah cara untuk mendaftar sistem insurans pekerjaan (sip) dengan perkeso? Bagaimanakah menentukan kadar caruman dan cara membayar caruman perkeso? ١٤ ذو القعدة ١٤٤٣ هـ.

Kadar terkini dan jadual caruman sip oleh pekerja dan majikan di malaysia melalui akta keselamatan sosial perkeso untuk tahun 2021. Muat Turun Jadual Caruman Perkeso Muat Turun 11 Otosection

Bagaimanakah menentukan kadar caruman dan cara membayar caruman perkeso? Faedah adalah dikira berdasarkan kepada gaji anggapan dan syarat kelayakan caruman iaitu kadar caruman bulanan yang telah dibayar sebelum ini. Bagaimanakah cara untuk membayar caruman perkeso? (umur pekerja 60 tahun ke bawah).

Perkeso jadual caruman sistem insuran pekerjaan (sip). Socso Contribution Schedule Jadual Caruman Pdf

Perkeso jadual caruman sistem insuran pekerjaan (sip). Faedah adalah dikira berdasarkan kepada gaji anggapan dan syarat kelayakan caruman iaitu kadar caruman bulanan yang telah dibayar sebelum ini. Efektif mulai bulan mei 2005. (umur pekerja 60 tahun ke bawah).

Faedah adalah dikira berdasarkan kepada gaji anggapan dan syarat kelayakan caruman iaitu kadar caruman bulanan yang telah dibayar sebelum ini. 30 Pekerja Jadual Caruman Kwsp Images Kwspblogs

Perlukah majikan memaklumkan kepada perkeso bagi pekerja yang berhenti?

Faedah adalah dikira berdasarkan kepada gaji anggapan dan syarat kelayakan caruman iaitu kadar caruman bulanan yang telah dibayar sebelum ini. Eis Perkeso Cara Mohon Kursus Ms Office Percuma Jika Anda Kena Vss Mss

Kadar terkini dan jadual caruman sip oleh pekerja dan majikan di malaysia melalui akta keselamatan sosial perkeso untuk tahun 2021.

Majikan perlu membayar caruman bulanan bagi setiap pekerja yang layak. Jadual Caruman Socso 2018 Rashadtrf

Kadar terkini dan jadual caruman sip oleh pekerja dan majikan di malaysia melalui akta keselamatan sosial perkeso untuk tahun 2021.

Faedah adalah dikira berdasarkan kepada gaji anggapan dan syarat kelayakan caruman iaitu kadar caruman bulanan yang telah dibayar sebelum ini. Kadar Caruman Sip Jadual Eis Perkeso Socso 2022

Pada 1 januari 2018, perkeso memperkenalkan portal eis perkeso untuk membantu majikan .

Posting Komentar untuk "Pekerja Jadual Caruman Sip Perkeso / Eis Perkeso Rm600 Cara Bantuan Perkeso Hilang Pekerjaan"